Як розібратися у квантовій фізиці-

Квантова фізика (вона ж квантова теорія або квантова механіка) – це окремий напрямок фізики, яке займається описом поведінки і взаємодії матерії та енергії на рівні елементарних частинок, фотонів і деяких матеріалів при дуже низьких температурах. Квантове поле визначається як " дія " (або в деяких випадках кутовий момент) частинки, що за розміром знаходиться в межах величини крихітної фізичної константи, яка називається постійною Планка.

Метод1З 8:
Постійна Планка

  1. Почніть з вивчення фізичного поняття постійної Планка. у квантовій механіці, постійна Планка-це квант дії, позначається як H . Аналогічно, для взаємодіючих елементарних частинок, квант Моменту імпульсу - це наведена постійна Планка (постійна Планка поділена на 2 π) позначається як Ħ і називається «H з рисою». Значення постійної Планка надзвичайно мало, вона об'єднує ті моменти імпульсу і позначення дій, що мають більш загальну математичну концепцію. Назва квантова механіка має на увазі, що деякі фізичні величини, подібні моменту імпульсу можуть змінюватися тільки дискретно , а не безперервним ( див. аналоговим) способом.
    • Наприклад, момент імпульсу електрона, прив'язаного до атома або молекули, квантується і може приймати тільки значення кратні наведеної постійної Планка. Це квантування збільшує орбіталь електрона на серію цілого первинного квантового числа. На відміну від цього, момент імпульсу незв'язаних електронів, що знаходяться поруч, не квантується. Постійна Планка також застосовується в квантовій теорії світла, де квантом світла є фотон, і матерія взаємодіє з енергією за допомогою переходу електронів між атомами або «квантового стрибка» пов'язаного електрона.
    • Одиниці постійної Планка також можна розглядати як час моменту енергії. Наприклад, в предметній області фізики елементарних частинок, віртуальні частинки представлені, як маса частинок, які спонтанно виникають з вакууму на дуже малій ділянці і грають роль в їх взаємодії. Межа життя цих віртуальних частинок-це енергія (маса) кожної частинки. Квантова механіка має велику предметну область, але в кожній математичній її частині присутня постійна Планка.
  2. Дізнайтеся про важкі частинки. важкі частинки проходять від класичного до квантового енергетичного переходу. Навіть якщо вільний електрон, що володіє деякими квантовими властивостями (такими як обертання), як незв'язаний електрон, наближається до атома і сповільнюється (можливо, через випромінювання ним фотонів), він переходить від класичного до квантової поведінки, оскільки його енергія опускається нижче енергії іонізації. Електрон зв'язується з атомом і його момент імпульсу по відношенню до атомного ядра обмежується тим квантовим значенням орбіталі, яку він може зайняти. Цей перехід раптовий. Його можна порівняти з механічною системою, яка змінює свій стан від нестабільного до стабільного, або її поведінка змінюється з простого на хаотичне, або можна навіть порівняти з ракетним кораблем, який сповільнюється і йде нижче швидкості відриву, і займає орбіту навколо якої-небудь зірки або іншого небесного об'єкта. На відміну від них, фотони (які невагомі) такий перехід не здійснюють: вони просто перетинають простір без змін до тих пір, поки не взаємодіють з іншими частинками і не зникають. Якщо ви дивитеся в нічне небо, фотони з деяких зірок без змін пролітають довгі світлові роки, потім взаємодіють з електроном в молекулі вашої сітківки, випускаючи свою енергію, а потім зникаючи.

Метод2З 8:
Інноваційні ідеї

  1. Будьте в курсі інновацій у квантовій теорії. вам необхідно добре знати їх, серед них є такі як:
    1. Квантове поле слідує правилам, трохи відрізняється від того, що ми зустрічаємо кожен день.
    2. Дія (момент імпульсу) не є безперервним, воно складається з маленьких окремих елементів.
    3. Елементарні частинки поводяться і як частинки, і як хвилі.
    4. Рух конкретної частинки по своїй суті випадково, і його можна передбачити тільки за допомогою теорії ймовірностей.
    5. Фізично неможливо виміряти і положення, і імпульс частинки з точністю, допустимої постійної Планка. Чим точніше виміряти одну величину, тим менше точності буде в вимірі інший.

Метод3З 8:
Дуалізм частинки і хвилі

  1. Вивчіть концепцію дуалізму частинок і хвиль. цей постулат говорить, що вся матерія має властивості частинки і хвилі. Цей дуалізм-головна концепція квантової механіки, робить нездатною класичну концепцію про "частинках» і "хвилях" повного опису поведінки квантових частинок.
    • Для повного обсягу знання дуалізму матерії, необхідно знати про ефект Комптона, фотоелектричний ефект, довжину хвилі де Бройля і формулу Планка для випромінювання чорних тел.всі ці ефекти і теорії доводять дуалізм природи матерії.
    • Вченими було проведено безліч експериментів зі світлом, які доводять, що світло може вести себе і як частинка, і як хвиля... у 1901 році, Макс Планк опублікував дослідження про те, що йому вдалося відтворити спостережуваний спектр світла, випромінюваного світиться об'єктом. Щоб завершити це дослідження, Планку довелося зробити цілеспрямоване математичне припущення про квантовані дії осциляторів (атомів чорного тіла), які випускають радіацію. Пізніше Ейнштейн припустив, що це саме електромагнітне випромінювання, яке перетворюється в фотони.

Метод4З 8:
Невизначеність

  1. Вивчіть принципи невизначеності. цей принцип стверджує, що деякі пари фізичних властивостей, таких як, наприклад, положення і імпульс, не можуть бути відомі з високим ступенем точності одночасно. У квантовій фізиці частинка описується як група хвиль, що призводить до цього феномену. Розглянемо вимірювання положення частинки. Вона може перебувати де завгодно. Пакет хвиль частинки має ненульову амплітуду, що означає, що положення її невизначене – вона може бути практично в будь-якому місці в межах поширення хвилі. Для отримання точного вимірювання положення, ця група хвиль повинна бути 'стиснута' настільки, наскільки це можливо, означаючи, що вона повинна бути складена зі збільшеної кількості синусоїд, складених разом. Імпульс частинки пропорційний хвильовому числу однієї з цих хвиль, але це може бути будь-яка з них. Так що, більш точне вимірювання положення-за допомогою поєднання більшої кількості хвиль-означає, що вимірювання імпульсу стає менш точним (і навпаки).

Метод5З 8:
Функції хвилі

  1. Дізнайтеся про функції хвиль. функція хвилі або хвильова функція є математичним інструментом у квантовій механіці, який описує квантовий стан частинки або системи частинок. Він часто застосовується як властивість частинок, пов'язане з їх корпускулярно-хвильовим дуалізмом, що позначається ψ (положення, час) де / ψ| 2 дорівнює ймовірності знаходження об'єкта в певному положенні в певний час.
    • Наприклад, в атомі з єдиним електроном, таким як водень або іонізований гелій, хвильова функція електрона містить повний опис поведінки електрона. Її можна розкласти на ряд атомних орбіталей, які формують основу для можливих хвильових функцій. Для атома, у якого більше ніж один електрон (або будь-якої системи з безліччю частинок), базисний простір складається з можливих конфігурацій всіх електронів і хвильова функція описує ймовірності цих конфігурацій.
    • При вирішенні домашнього завдання за участю хвильової функції, обов'язковим є добре знання комплексних чисел. Іншою обов'язковою умовою йде математика лінійної алгебри, формула Ейлера з комплексного аналізу і позначення Дірака бра і кет.

Метод6З 8:
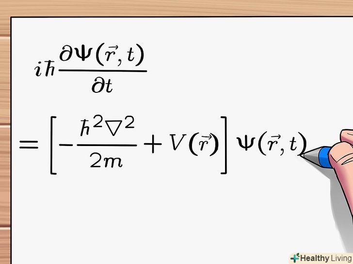
Рівняння Шредінгера

  1. Розберіть рівняння Шредінгера. це рівняння описує, як квантовий стан фізичної системи змінюється з часом. Воно є основоположним у квантовій механіці, як закони Ньютона в механіці класичної. Рішення рівняння Шредінгера описує не тільки молекулярні, атомні і субатомні системи, але і макросистеми, можливо навіть весь Всесвіт.
    • Загальна форма рівняння Шредінгера залежить від часу і дає опис розвитку системи з плином часу.
    • Для стаціонарної системи застосовується рівняння Шредінгера, яке не залежить від часу. Наближені рішення не залежать від часу. Рівняння Шредінгера зазвичай використовуються для розрахунку енергетичних рівнів та інших властивостей атомів і молекул.

Метод7З 8:
Квантова суперпозиція

  1. Розберіть квантову суперпозицію. вона відноситься до квантових механічних властивостей рішень рівняння Шредінгера. Так як рівняння Шредінгера є лінійним, будь-яка лінійна комбінація рішень конкретного рівняння буде також і його рішенням. Ця математична властивість всіх лінійних рівнянь відома як принцип суперпозиції. У квантовій механіці подібні рішення часто є ортогональними, наприклад, як енергетичні рівні електрона. Роблячи так, виходить, що енергія перекриття станів приводиться до нуля і середнє значення оператора (будь – який стан суперпозиції) - це середнє значення оператора в індивідуальному стані, помножене на частку стану суперпозиції, «в» якому він знаходиться.

Метод8З 8:
Ігнорування класичної картини

  1. Давайте звернемося до понять класичної фізики. у квантовій механіці, шлях частинки повністю ідеалізований в іншій манері, і стара квантова теорія являє собою лише іграшкову модель, щоб зрозуміти атомічну гіпотезу.
    • В КМ, шлях частинки представлений так, як якщо вона проходить через безліч шляхів, в класичній механіці шлях частинки визначається її траєкторією, але в КМ є безліч шляхів, по яких може подорожувати ця частка. Ця правда прихована в двощелевом експерименті, в якому електрон поводиться як корпускулярно-хвильовий дуалізм, і ця ідея повністю пояснюється інтегральним шляхом Фейнмана.
    • В КМ константа нормалізації дуже важлива, так як визначає можливість знаходження частки рівній одиниці і КМ також підтверджує принцип суперпозиції.
    • Щоб зрозуміти вищий рівень КМ, потрібно повністю проігнорувати іграшкову модель (модель Бора). Причина проста-ви не можете визначити точний шлях електрона на різних орбітальних рівнях.
    • Якщо в КМ класичний межа h прагне до нуля, то результати КМ стають найбільш близькими до класичної механіки.
    • В КМ класичний результат можна отримати, використовуючи середнє значення, і найкращим прикладом є теорема Еренфеста. Вона виводиться за допомогою операційного методу.

Поради

  • Вирішуйте чисельні завдання з курсу фізики старшої школи як практику для роботи, що вимагає математичного рішення в квантовій фізиці.
  • Деякі обов'язкові умови квантової фізики включають в себе класичну механіку, функцію Гамільтона і різні властивості хвиль, як інтерференція, дифракція і т.д. зверніться до підручників або запитайте свого вчителя фізики. Необхідно домогтися чіткого розуміння фізики вищої школи і її обов'язкових умов. Вам знадобиться трохи підучити математику рівня коледжу. Для створення схеми (плану навчання) Подивіться зміст в Schaums Outline .
  • Є серії онлайн-лекцій з квантової механіки на YouTube. Подивіться на http://www.youtube.com/education?category=University/Science/Physics/Quantum%20Mechanics .

Ще почитати: