Як створити випадаюче меню на HTML і CSS

З цієї статті ви дізнаєтеся, як створити випадаюче меню за допомогою HTML і CSS. Випадаюче меню відкривається, коли користувач наводить на нього покажчик миші; коли меню відкрито, користувач може клацнути по одній з опцій меню, щоб перейти на відповідну сторінку.

Кроки

  1. Відкрийте текстовий редактор. можна використовувати звичайний текстовий редактор, наприклад, Блокнот або TextEdit, або більш функціональний текстовий редактор, такий як Notepad++.
    • В Notepad++ спочатку відкрийте меню "Мова «вгорі вікна і виберіть в ньому»HTML".
  2. Введіть заголовок документа. це код, який визначає тип коду, який використовується в іншій частині документа:
    &#lt;!DOCTYPE html&#gt;
    &#lt;Html&#gt;
    &#lt;Head&#gt;
    &#lt;Style&#gt;
    
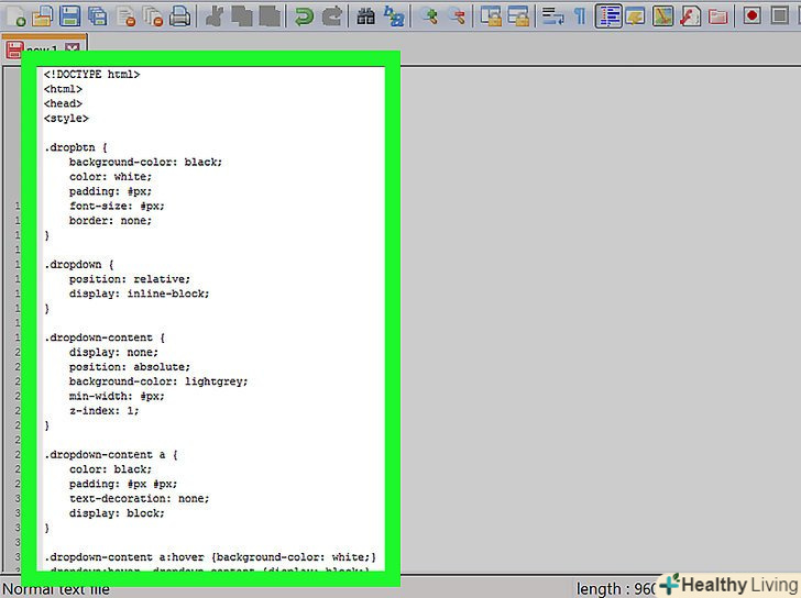
  3. Створіть випадаюче меню. введіть наступний код, щоб задати розмір і колір меню. Замість "" введіть потрібну цифру (чим більше цифра, тим більше меню). Також в рядках "background-color" І» color " можна підставити назву потрібного кольору або його HTML-код: [1]
    .Dropbtn {
        Background-color: Black;
        Color: White;
        Padding: Px;
        Font-size: Px;
        Border: None;
    }
    
  4. Вкажіть, що в меню будуть присутні опції. Так як опції будуть додані пізніше, помістіть їх в меню, ввівши наступний код:
    .Dropdown {
        Position: Relative;
        Display: Inline-block;
    }
    
  5. Налаштуйте зовнішній вигляд випадаючого меню. наступний код задасть розмір меню, його положення, коли зачіпаються інші елементи веб-сторінки, і колір. У рядку «min-width» замість «» підставте потрібну цифру (наприклад, 250), а в рядку "background-color" - назва потрібного кольору або його HTML-код:
    .Dropdown-content {
        Display: None;
        Position: Absolute;
        Background-color: Lightgrey;
        Min-width: Px;
        Z-index: 1;
    }
    
  6. Додайте інформацію про вміст випадаючого меню. наступний код задає колір тексту і розмір кнопки меню. Замість "" підставте число (в пікселях), щоб задати розмір кнопки:
    .Dropdown-content A {
        Color: Black;
        Padding: Px Px;
        Text-decoration: None;
        Display: Block;
    }
    
  7. Вкажіть, як будуть змінюватися кольори меню, коли користувач наведе на нього курсор миші. у першому рядку «background-color» вказується колір, в який забарвиться обрана опція, а в другому рядку «background-color» колір, в який забарвиться кнопка меню, що випадає. В ідеалі ці кольори повинні бути світлішими, ніж кольори опцій і кнопки, коли курсор не наведений на них.
    .Dropdown-content A:Hover {Background-color: White;}
    .Dropdown:Hover .Dropdown-content {Display: Block;}
    .Dropdown:Hover .Dropbtn {Background-color: Grey;}
    
  8. Закрийте розділ CSS. для цього введіть наступний код:
    &#lt;/Style&#gt;
    &#lt;/Head&#gt;
    
  9. Вкажіть ім'я випадаючого меню. введіть наступний код, де «Name» замініть на слово (наприклад, «Меню»), яке відобразиться на кнопці меню.
    &#lt;Div Class="dropdown"&#gt;
    &#lt;Button Class="dropbtn"&#gt; Name
    &#lt;/Button&#gt;
    &#lt;Div Class="dropdown-content"&#gt;
    
  10. Додайте опції меню. кожна опція меню повинна посилатися на що-небудь, наприклад, на сторінку вашого або іншого веб-сайту. Щоб додати опції в меню, введіть наступний код, де замість https://www.website.com підставте адресу сторінки (лапки не видаляйте), а замість «Name» підставте назву опції.
    &#lt;A Href="https://www.website.com"&#gt; Name
    &#lt;/A&#gt;
    &#lt;A Href="https://www.website.com"&#gt; Name
    &#lt;/A&#gt;
    &#lt;A Href="https://www.website.com"&#gt; Name
    &#lt;/A&#gt;
    
  11. Завершіть код. введіть наступні теги, щоб вказати кінець коду випадаючого меню:
    &#lt;/Div&#gt;
    &#lt;/Div&#gt;
    &#lt;/Body&#gt;
    &#lt;/Html&#gt;
    
  12. Перегляньте код випадаючого меню. Код повинен виглядати приблизно так: [2]
    &#lt;!DOCTYPE html&#gt;
    &#lt;Html&#gt;
    &#lt;Head&#gt;
    &#lt;Style&#gt;
    
    .Dropbtn {
        Background-color: Black;
        Color: White;
        Padding: 16Px;
        Font-size: 16Px;
        Border: None;
    }
    
    .Dropdown {
        Position: Relative;
        Display: Inline-block;
    }
    
    .Dropdown-content {
        Display: None;
        Position: Absolute;
        Background-color: Lightgrey;
        Min-width: 200Px;
        Z-index: 1;
    }
    
    .Dropdown-content A {
        Color: Black;
        Padding: 12Px 16Px;
        Text-decoration: None;
        Display: Block;
    }
    
    .Dropdown-content A:Hover {Background-color: White;}
    .Dropdown:Hover .Dropdown-content {Display: Block;}
    .Dropdown:Hover .Dropbtn {Background-color: Grey;}
    
    &#lt;/Style&#gt;
    &#lt;/Head&#gt;
    
    &#lt;Div Class="dropdown"&#gt;
    &#lt;Button Class="dropbtn"&#gt; Social Media
    &#lt;/Button&#gt;
    &#lt;Div Class="dropdown-content"&#gt;
    
    &#lt;A Href="https://www.google.com"&#gt; Google
    &#lt;/A&#gt;
    &#lt;A Href="https://www.facebook.com"&#gt; Facebook
    &#lt;/A&#gt;
    &#lt;A Href="https://www.youtube.com"&#gt; YouTube
    &#lt;/A&#gt;
    
    &#lt;/Div&#gt;
    &#lt;/Div&#gt;
    &#lt;/Body&#gt;
    &#lt;/Html&#gt;
    

Поради

  • Завжди перевіряйте код, перш ніж розміщувати його на своєму веб-сайті.
  • Описані тут методи призначені для створення випадаючого меню, яке відкривається, якщо навести на нього курсор миші. Щоб створити випадаюче меню, яке відкривається, якщо клацнути по ньому, скористайтеся JavaScript. [3]

Попередження

  • Набір HTML-кольорів досить обмежений, якщо використовувати їх назви, наприклад, «black» (чорний) або «green» (Зелений). На цій сторінці є генератор кодів HTML-кольорів, за допомогою якого можна знайти код будь-якого кольору.

Ще почитати: